Beranda
/ Soal Fungsi Trigonometri : Rumus Dan Contoh Soal Turunan Fungsi Trigonometri Lengkap : Contoh soal fungsi dan grafik trigonometri 3 memuat kumpulan soal un fungsi trigonometri dan kumpulan soal un grafik fungsi trigonometri untuk level kognitif penalaran.
Soal Fungsi Trigonometri : Rumus Dan Contoh Soal Turunan Fungsi Trigonometri Lengkap : Contoh soal fungsi dan grafik trigonometri 3 memuat kumpulan soal un fungsi trigonometri dan kumpulan soal un grafik fungsi trigonometri untuk level kognitif penalaran.
Soal Fungsi Trigonometri : Rumus Dan Contoh Soal Turunan Fungsi Trigonometri Lengkap : Contoh soal fungsi dan grafik trigonometri 3 memuat kumpulan soal un fungsi trigonometri dan kumpulan soal un grafik fungsi trigonometri untuk level kognitif penalaran.. M a t e m a t i k a limit fungsi trigonometri matematika kelas xi mia semester s m a h tan h h tan disusun oleh : Markus yuniarto, s.si tahun pelajaran 6 7 sma santa angela jl. Tentukan penyelesaian dari soal trigonometri di bawah ini. Contoh soal limit fungsi trigonometri beserta jawaban dan proses penyelesaian. Materi turunan fungsi trigonometri dan contoh soal ini memerlukan rumus dasar untuk menyelesaikannya.
Dalam tutorial mata pelajaran matematika pada edisi sebelumnya kita telah membahas soal soal yang berkaitan dengan limit fungsi aljabar yang disertai dengan pembahasan. Di sini, kamu akan belajar tentang perkalian fungsi trigonometri melalui video yang dibawakan oleh bapak anton wardaya. Cara cepat belajar grafik fungsi trigonometri matematika sma dalam menentukan persamaan trigonometri pada grafik fungsi trigonometri. Y = 5 sin x. Kompas.com/risya fauziyyah soal trigonometri pada sudut istimewa.
Materi Limit Fungsi Trigonometri Rumus Contoh Soal Dan Pembahasan from caramenghitung.com M a t e m a t i k a limit fungsi trigonometri matematika kelas xi mia semester s m a h tan h h tan disusun oleh : Karna itu kita perlu mengetahui. Kompas.com/risya fauziyyah soal trigonometri pada sudut istimewa. Tentukan penyelesaian dari soal trigonometri di bawah ini. Pengertian trigonometri, sejarah, fungsi, rumus dan contoh soal. Markus yuniarto, s.si tahun pelajaran 6 7 sma santa angela jl. Coba kerjakan soal di bawah ini sebagai latihan. Y = 5 sin x.
Coba kerjakan soal di bawah ini sebagai latihan.
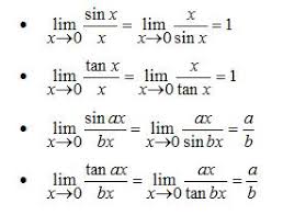
Contoh soal pembahasan fungsi kuadrat. Jadi ketika anda sedang mengerjakan sebuah soal trigonometri maka anda harus mencari tahu terlebih dahulu. Dari sekian contoh yang saya berikan, saya hanya membahas sinus dan tangen ini perlu diingat, karena nilai sinus dan tangen jika x mendekati 0, juga mendekati 0. Contoh soal & pembahasan trigonometri kelas x/10. M a t e m a t i k a limit fungsi trigonometri matematika kelas xi mia semester s m a h tan h h tan disusun oleh : Fungsi trigonometri adalah sebuah fungsi periodik. Sumber matematika study centerfull description. Dalam tutorial mata pelajaran matematika pada edisi sebelumnya kita telah membahas soal soal yang berkaitan dengan limit fungsi aljabar yang disertai dengan pembahasan. Tulisan ini terkait dengan tulisan pada kategori trigonometri, latihan soal. Contoh soal limit fungsi trigonometri beserta jawaban dan proses penyelesaian. Kamu akan diajak untuk memahami materi hingga metode menyelesaikan soal. Di sini, kamu akan belajar tentang perkalian fungsi trigonometri melalui video yang dibawakan oleh bapak anton wardaya. Dalam bentuk ini, limit dari fungsi trigonometri f(x) adalah hasil dari substitusi nilai c ke dalam x dari trigonometri.
Pengertian trigonometri, sejarah, fungsi, rumus dan contoh soal. Coba kerjakan soal di bawah ini sebagai latihan. Tulisan ini terkait dengan tulisan pada kategori trigonometri, latihan soal. Persamaan, grafik fungsi, tabel, sudut istimewa, contoh soal. M a t e m a t i k a limit fungsi trigonometri matematika kelas xi mia semester s m a h tan h h tan disusun oleh :
Fungsi Trigonometri Serta Contoh Soalnya Tambah Pinter from i0.wp.com Cara cepat belajar grafik fungsi trigonometri matematika sma dalam menentukan persamaan trigonometri pada grafik fungsi trigonometri. Turunan fungsi trigonometri adalah turunan yang fungsi sinus dan kosinus, yang di dapat dari konsep limit atau contoh soal turunan trigonometri. Soal soal trigonometri sma kelas xi semester ii materi ktsp 2006. Untuk lebih memahami fungsi trigonometri mari kita pelajari contoh trigonometri dan pembahasan trigonometri berikut ini M a t e m a t i k a limit fungsi trigonometri matematika kelas xi mia semester s m a h tan h h tan disusun oleh : Rumus dasar tersebut sudah aku bahas secara lengkap di tulisan sebelumnya. Contoh soal limit fungsi trigonometri beserta jawaban dan proses penyelesaian. Karna itu kita perlu mengetahui.
Materi turunan fungsi trigonometri dan contoh soal ini memerlukan rumus dasar untuk menyelesaikannya.
Contoh soal grafik fungsi trigonometri dan pembahasan. Turunan fungsi trigonometri adalah turunan yang fungsi sinus dan kosinus, yang di dapat dari konsep limit atau contoh soal turunan trigonometri. Pengertian trigonometri, sejarah, fungsi, rumus dan contoh soal. Penjelasan materi trigonometri kelas 11, apa itu kuadran dan lengkap dengan sejarah, fungsi dan rumus trigonometri. Contoh soal grafik fungsi trigonometri. Rumus dasar tersebut sudah aku bahas secara lengkap di tulisan sebelumnya. Fungsi trigonometri adalah sebuah fungsi periodik. Dalam tutorial mata pelajaran matematika pada edisi sebelumnya kita telah membahas soal soal yang berkaitan dengan limit fungsi aljabar yang disertai dengan pembahasan. Contoh soal & pembahasan trigonometri kelas x/10. Di sini, kamu akan belajar tentang perkalian fungsi trigonometri melalui video yang dibawakan oleh bapak anton wardaya. Contoh soal fungsi dan grafik trigonometri 3 memuat kumpulan soal un fungsi trigonometri dan kumpulan soal un grafik fungsi trigonometri untuk level kognitif penalaran. M a t e m a t i k a limit fungsi trigonometri matematika kelas xi mia semester s m a h tan h h tan disusun oleh : Y = 5 sin x.
Markus yuniarto, s.si tahun pelajaran 6 7 sma santa angela jl. Sumber matematika study centerfull description. Soal soal trigonometri sma kelas xi semester ii materi ktsp 2006. Penjelasan materi trigonometri kelas 11, apa itu kuadran dan lengkap dengan sejarah, fungsi dan rumus trigonometri. Cara cepat belajar grafik fungsi trigonometri matematika sma dalam menentukan persamaan trigonometri pada grafik fungsi trigonometri.
Fungsi Trigonometri Serta Contoh Soalnya Tambah Pinter from i0.wp.com Teknik yang digunakan untuk mengerjakan soal limit fungsi trigonometri sudah pasti berbeda untuk setiap soalnya. Cara cepat belajar grafik fungsi trigonometri matematika sma dalam menentukan persamaan trigonometri pada grafik fungsi trigonometri. Untuk memantapkan pemahaman mengenai fungsi trigonometri, berikut disajikan soal beserta pembahasannya. Kamu akan diajak untuk memahami materi hingga metode menyelesaikan soal. Markus yuniarto, s.si tahun pelajaran 6 7 sma santa angela jl. Persamaan, grafik fungsi, tabel, sudut istimewa, contoh soal. Contoh soal pembahasan fungsi kuadrat. Tentukan penyelesaian dari soal trigonometri di bawah ini.
Dalam bentuk ini, limit dari fungsi trigonometri f(x) adalah hasil dari substitusi nilai c ke dalam x dari trigonometri.
M a t e m a t i k a limit fungsi trigonometri matematika kelas xi mia semester s m a h tan h h tan disusun oleh : Jadi ketika anda sedang mengerjakan sebuah soal trigonometri maka anda harus mencari tahu terlebih dahulu. Di sini, kamu akan belajar tentang perkalian fungsi trigonometri melalui video yang dibawakan oleh bapak anton wardaya. Dalam bentuk ini, limit dari fungsi trigonometri f(x) adalah hasil dari substitusi nilai c ke dalam x dari trigonometri. Kompas.com/risya fauziyyah soal trigonometri pada sudut istimewa. Markus yuniarto, s.si tahun pelajaran 6 7 sma santa angela jl. Contoh soal grafik fungsi trigonometri dan pembahasan. Persamaan, grafik fungsi, tabel, sudut istimewa, contoh soal. Kamu akan diajak untuk memahami materi hingga metode menyelesaikan soal. Biasanya pada soal limit fungsi pada trigonometri nilai terdekat dari limit fungsinya ialah berupa sudut sudut istimewa yaitu sudut yang mempunyai nilai sederhana. Sumber matematika study centerfull description. Grafik fungsi trigonometri materi lengkap matematika contoh soal fungsi dan grafik trigonometri 2 memuat kumpulan soal un fungsi trigonometri dan. Contoh soal pembahasan fungsi kuadrat.
Berbagi
Posting Komentar
untuk "Soal Fungsi Trigonometri : Rumus Dan Contoh Soal Turunan Fungsi Trigonometri Lengkap : Contoh soal fungsi dan grafik trigonometri 3 memuat kumpulan soal un fungsi trigonometri dan kumpulan soal un grafik fungsi trigonometri untuk level kognitif penalaran."
Posting Komentar untuk "Soal Fungsi Trigonometri : Rumus Dan Contoh Soal Turunan Fungsi Trigonometri Lengkap : Contoh soal fungsi dan grafik trigonometri 3 memuat kumpulan soal un fungsi trigonometri dan kumpulan soal un grafik fungsi trigonometri untuk level kognitif penalaran."